Publication Bias

Psicometria per le Neuroscienze Cognitive

Filippo Gambarota, PhD

Publication Bias (PB)

What do you think about PB? What do you know? Causes? Remedies?

Publication Bias (PB)

The PB is a very critical most problematic aspects of meta-analysis. Essentially the probability of publishing a paper (~and thus including into the meta-analysis) is not the same regardless of the result.

Publication Bias Disclaimer!

We cannot (completely) solve the PB using statistical tools. The PB is a problem related to the publishing process and publishing incentives

  • pre-registrations, multi-lab studies, etc. can (almost) completely solve the problem filling the literature with unbiased studies
  • there are statistical tools to detect, estimate and correct for the publication bias. As every statistical method, they are influenced by statistical assumptions, number of studies and sample size, heterogeneity, etc.

Publication Bias (PB) - The Big Picture1

PB under an EE model

The easiest way to understand the PB is by simulating what happen without the PB. Let’s simulate a lot of studies (under a EE model) keeping all the results without selection (the ideal world).

set.seed(2023)
k <- 1e3
n <- round(runif(k, 10, 100))
theta <- 0.3
dat <- sim_studies(k = k, es = theta, tau2 = 0, n1 = n)
dat <- summary(dat)
# compute 1 tail pvalue
dat$pval1 <- 1 - pnorm(dat$zi)
ht(dat)
#> 
#>        id      yi     vi n1 n2    sei      zi   pval   ci.lb  ci.ub       pval1 
#> 1       1  0.3483 0.0406 52 52 0.2015  1.7287 0.0839 -0.0466 0.7431 0.041927744 
#> 2       2  0.3762 0.0605 40 40 0.2460  1.5291 0.1262 -0.1060 0.8585 0.063119366 
#> 3       3  0.0634 0.0911 25 25 0.3018  0.2101 0.8336 -0.5281 0.6549 0.416800171 
#> 4       4  0.4101 0.0487 46 46 0.2206  1.8588 0.0631 -0.0223 0.8426 0.031530757 
#> 5       5 -0.0476 0.1160 13 13 0.3405 -0.1398 0.8888 -0.7151 0.6199 0.555581669 
#> 995   995  0.3584 0.0950 24 24 0.3083  1.1625 0.2450 -0.2458 0.9625 0.122511729 
#> 996   996  0.3939 0.1697 17 17 0.4120  0.9562 0.3390 -0.4135 1.2014 0.169484321 
#> 997   997  0.5205 0.0486 35 35 0.2204  2.3610 0.0182  0.0884 0.9525 0.009112230 
#> 998   998  0.4206 0.0815 29 29 0.2854  1.4737 0.1406 -0.1388 0.9801 0.070283435 
#> 999   999  0.0625 0.0244 83 83 0.1562  0.3999 0.6893 -0.2438 0.3687 0.344631179 
#> 1000 1000  0.5547 0.0416 37 37 0.2039  2.7201 0.0065  0.1550 0.9544 0.003263493

PB under an EE model

par(mfrow = c(1, 3))
hist(dat$yi, breaks = 50, col = "dodgerblue", main = "Effect Size")
plot(dat$yi, dat$pval1, pch = 19, col = ifelse(dat$pval1 <= 0.05, scales::alpha("firebrick", 0.5), scales::alpha("black", 0.5)),
     main = "P value (one tail) ~ Effect size")
abline(h = 0.05)
plot(dat$yi, dat$pval, pch = 19, col = ifelse(dat$pval <= 0.05, scales::alpha("firebrick", 0.5), scales::alpha("black", 0.5)),
     main = "P value (two tails) ~ Effect size")
abline(h = 0.05)

PB under an EE model

Then, let’s assume that our publishing system is very strict (extreme). You can publish only if \(p \leq 0.05\) on the expected direction. Then the true population of effect sizes will be truncated. Essentially we are assuming that \(P(1|p \leq 0.05) = 1\) and \(P(1|p \leq 0.05) = 0\).

# selecting
sign <- dat$pval1 <= 0.05 & dat$zi > 0
dat_pb <- dat[sign, ]
dat_un <- dat[sample(1:nrow(dat), sum(sign)), ]

# fitting EE model for the full vs selected (ignore k differences)
fit <- rma(yi, vi, method = "EE", data = dat_un)
fit_pb <- rma(yi, vi, method = "EE", data = dat_pb)

PB under an EE model

Then, let’s assume that our publishing system is very strict (extreme). You can publish only if \(p \leq 0.05\) on the expected direction. Then the true population of effect sizes will be truncated. Essentially we are assuming that \(P(1|p \leq 0.05) = 1\) and \(P(1|p \leq 0.05) = 0\).

round(compare_rma(fit, fit_pb), 3)
#> fit: rma(yi = yi, vi = vi, data = dat_un, method = "EE")
#> fit_pb: rma(yi = yi, vi = vi, data = dat_pb, method = "EE")
#>                fit fit_pb
#> b (intrcpt)  0.289  0.436
#> se           0.009  0.008
#> zval        32.003 51.811
#> pval         0.000  0.000
#> ci.lb        0.271  0.420
#> ci.ub        0.307  0.453
#> I2           0.955  0.000
#> tau2         0.000  0.000

PB under an EE model

The situation is even worse when we simulate a null effect. This strict selection results in committing type-1 error:

set.seed(2023)
k <- 1e3
n <- round(runif(k, 10, 100))
dat0 <- sim_studies(k = k, es = 0, tau2 = 0, n1 = n)
dat0 <- summary(dat0)
# compute 1 tail pvalue
dat0$pval1 <- 1 - pnorm(dat0$zi)
# selecting
sign <- dat0$pval1 <= 0.05 & dat0$zi > 0
dat_pb0 <- dat0[sign, ]
dat_un0 <- dat0[sample(1:nrow(dat0), sum(sign)), ]

# fitting EE model for the full vs selected (ignore k differences)
fit0 <- rma(yi, vi, method = "EE", data = dat_un0)
fit_pb0 <- rma(yi, vi, method = "EE", data = dat_pb0)
round(compare_rma(fit0, fit_pb0), 3)
#> fit0: rma(yi = yi, vi = vi, data = dat_un0, method = "EE")
#> fit_pb0: rma(yi = yi, vi = vi, data = dat_pb0, method = "EE")
#>               fit0 fit_pb0
#> b (intrcpt) -0.006   0.363
#> se           0.027   0.026
#> zval        -0.220  14.015
#> pval         0.826   0.000
#> ci.lb       -0.059   0.312
#> ci.ub        0.047   0.414
#> I2           0.000   0.000
#> tau2         0.000   0.000

PB under an EE model

Assuming to pick a very precise (\(n = 1000\)) and a very unprecise (\(n = 20\)) study, which one is more likely to have an effect size close to the true value?

The precise study has a lower \(\epsilon_i\) thus is closer to \(\theta\). This relationship create a very insightful visual representation.

What could be the shape of the plot when plotting the precision (e.g., the sample size or the inverse of the variance) as a function of the effect size?

PB under an EE model

#|code-fold: true
plot(dat$yi, sqrt(dat$vi), ylim=rev(range(dat$vi)), pch = 19, col = scales::alpha("black", 0.5), cex = 1.5)
abline(v = theta, lwd = 3, col = "firebrick")

Publication Bias (PB) - Funnel Plot

We created a funnel plot. This is a visual tool to check the presence of asymmetry that could be caused by publication bias. If meta-analysis assumptions are respected, and there is no publication bias:

  • effects should be normally distributed around the average effect
  • more precise studies should be closer to the average effect
  • less precise studies could be equally distributed around the average effect

Publication Bias (PB) - Funnel Plot

The plot assume the typical funnel shape and there are not missing spots on the at the bottom. The presence of missing spots is a potential index of publication bias.

Code
fit <- rma(yi, vi, method = "EE", data = dat)
dat$pb <- dat$pval <= 0.05

with(dat[dat$pb, ],
     plot(yi, sei,
          ylim = rev(range(dat$sei)),
          xlab = latex2exp::TeX("$y_i$"),
          ylab = latex2exp::TeX("$\\sqrt{\\sigma_i^2}$"),
          xlim = range(dat$yi),
          pch = 19,
          col = scales::alpha("firebrick", 0.5))
)

with(dat[!dat$pb, ],
     points(yi, sei, col = scales::alpha("black", 0.5), pch = 19)
)

abline(v = fit$b[[1]], col = "black", lwd = 1.2)

Publication Bias (PB) - Funnel Plot

The plot assume the typical funnel shape and there are not missing spots on the at the bottom. The presence of missing spots is a potential index of publication bias.

Robustness to PB - Fail-safe N

The Fail-safe N (Rosenthal 1979) idea is very simple. Given a meta-analysis with a significant result (i.e., \(p \leq \alpha\)). How many null studies (i.e., \(\hat \theta = 0\)) do I need to obtain \(p > \alpha\)?

metafor::fsn(yi, vi, data = dat)
#> 
#> Fail-safe N Calculation Using the Rosenthal Approach
#> 
#> Observed Significance Level: <.0001
#> Target Significance Level:   0.05
#> 
#> Fail-safe N: 832741

Robustness to PB - Fail-safe N

There are several criticism to the Fail-safe N procedure:

  • is not actually detecting the PB but suggesting the required PB size to remove the effect. A very large N suggest that even with PB, it is unlikely that the results could be completely changed by actually reporting null studies
  • Orwin (1983) proposed a new method calculating the number of studies required to reduce the effect size to a given target
  • Rosenberg (2005) proposed a method similar to Rosenthal (1979) but combining the (weighted) effect sizes and not the p-values.

Detecting PB - Egger Regression

A basic method to test the funnel plot asymmetry is using an the Egger regression test. Basically we calculate the relationship between \(y_i\) and \(\sqrt{\sigma^2_i}\). In the absence of asimmetry, the line slope should be not different from 0.

We can use the metafor::regtest() function:

egger <- regtest(fit)
egger
#> 
#> Regression Test for Funnel Plot Asymmetry
#> 
#> Model:     fixed-effects meta-regression model
#> Predictor: standard error
#> 
#> Test for Funnel Plot Asymmetry: z = -0.3621, p = 0.7173
#> Limit Estimate (as sei -> 0):   b =  0.3061 (CI: 0.2601, 0.3520)

Publication Bias (PB) - Egger Regression

This is a standard (meta) regression thus the number of studies, the precision of each study and heterogeneity influence the reliability (power, type-1 error rate, etc.) of the procedure.

Correcting PB - Trim and Fill

The Trim and Fill method (Duval and Tweedie 2000) is used to impute the hypothetical missing studies according to the funnel plot and recomputing the meta-analysis effect. Shi and Lin (Shi and Lin 2019) provide an updated overview of the method with some criticisms.

set.seed(2023)
k <- 100 # we increased k to better show the effect
theta <- 0.5
tau2 <- 0.1
n <- runif(k, 10, 100)
dat <- sim_studies(k, theta, tau2, n)
dat <- summary(dat)
datpb <- dat[dat$pval <= 0.1 & dat$zi > 0, ]
fit <- rma(yi, vi, data = datpb, method = "REML")

Correcting PB - Trim and Fill

Now we can use the metafor::trimfill() function:

taf <- metafor::trimfill(fit)
taf
#> 
#> Estimated number of missing studies on the left side: 15 (SE = 5.4670)
#> 
#> Random-Effects Model (k = 84; tau^2 estimator: REML)
#> 
#> tau^2 (estimated amount of total heterogeneity): 0.0562 (SE = 0.0146)
#> tau (square root of estimated tau^2 value):      0.2371
#> I^2 (total heterogeneity / total variability):   61.61%
#> H^2 (total variability / sampling variability):  2.60
#> 
#> Test for Heterogeneity:
#> Q(df = 83) = 210.3501, p-val < .0001
#> 
#> Model Results:
#> 
#> estimate      se     zval    pval   ci.lb   ci.ub      
#>   0.5934  0.0339  17.5084  <.0001  0.5270  0.6598  *** 
#> 
#> ---
#> Signif. codes:  0 '***' 0.001 '**' 0.01 '*' 0.05 '.' 0.1 ' ' 1

The trim-and-fill estimates that 15 are missing. The new effect size after including the studies is reduced and closer to the simulated value (but in this case still significant).

Correcting PB - Trim and Fill

We can also visualize the funnel plot highligting the points that are included by the method.

funnel(taf)
Code
funnel(taf)
egg <- regtest(fit)
egg_npb <- regtest(taf)
se <- seq(0,1.8,length=100)
lines(coef(egg$fit)[1] + coef(egg$fit)[2]*se, se, lwd=3, col = "black")
lines(coef(egg_npb$fit)[1] + coef(egg_npb$fit)[2]*se, se, lwd=3, col = "firebrick")
legend("topleft", legend = c("Original", "Corrected"), fill = c("black", "firebrick"))

Why the funnel plot can be misleading?

This funnel plot show an evident asymmetry on the left side. Is there evidence of publication bias? What do you think?

Why the funnel plot can be misleading?

The data are of course simulated and this is the code. What do you think now?

set.seed(2024)
k <- 50
n1 <- round(runif(k, 10, 200))
n2 <- round(runif(k, 10, 50))
dat1 <- sim_studies(k, 0, 0, n1, add = list(x = 0))
dat2 <- sim_studies(k, 0.5, 0.05, n2, add = list(x = 1))
dat <- rbind(dat1, dat2)
fit <- rma(yi, vi, dat = dat)
funnel(fit)

Why the funnel plot can be misleading?

In fact, these are two unbiased population of effect sizes. Extra source of heterogeneity could create asymmetry not related to PB.

par(mfrow = c(1, 2))
funnel(fit)
funnel(fit, col = dat$x + 1)

Why the funnel plot can be misleading?

Also the methods to detect/correct for PB are committing a false alarm:

regtest(fit)
#> 
#> Regression Test for Funnel Plot Asymmetry
#> 
#> Model:     mixed-effects meta-regression model
#> Predictor: standard error
#> 
#> Test for Funnel Plot Asymmetry: z =  6.2569, p < .0001
#> Limit Estimate (as sei -> 0):   b = -0.2067 (CI: -0.3460, -0.0675)

Why the funnel plot can be misleading?

Also the methods to detect/correct for PB are committing a false alarm:

trimfill(fit)
#> 
#> Estimated number of missing studies on the left side: 32 (SE = 6.3553)
#> 
#> Random-Effects Model (k = 132; tau^2 estimator: REML)
#> 
#> tau^2 (estimated amount of total heterogeneity): 0.2183 (SE = 0.0337)
#> tau (square root of estimated tau^2 value):      0.4672
#> I^2 (total heterogeneity / total variability):   86.77%
#> H^2 (total variability / sampling variability):  7.56
#> 
#> Test for Heterogeneity:
#> Q(df = 131) = 639.7238, p-val < .0001
#> 
#> Model Results:
#> 
#> estimate      se    zval    pval    ci.lb   ci.ub    
#>   0.0281  0.0457  0.6142  0.5391  -0.0615  0.1177    
#> 
#> ---
#> Signif. codes:  0 '***' 0.001 '**' 0.01 '*' 0.05 '.' 0.1 ' ' 1

Why the funnel plot can be misleading?

The regtest can be applied also with moderators. The idea should be to take into account the moderators effects and then check for asymmetry.

fitm <- rma(yi, vi, mods = ~x, data = dat)
regtest(fitm)
#> 
#> Regression Test for Funnel Plot Asymmetry
#> 
#> Model:     mixed-effects meta-regression model
#> Predictor: standard error
#> 
#> Test for Funnel Plot Asymmetry: z = -1.0277, p = 0.3041

Why the funnel plot can be misleading?

In fact, the funnel plot on the raw dataset and on residuals looks quite different because the asymmetry was caused by the moderator.

Code
dat$ri <- residuals(fitm)
fitr <- rma(ri, vi, data = dat)
par(mfrow = c(1, 2))
plot_regtest(fit, main = "Full model")
plot_regtest(fitr, main = "Residuals")

Correcting PB - Selection Models (SM)

SM are more than a tool for correcting for the PB. SM are formal models of PB that can help us understanding and simulating the PB.

The SM are composed by two parts:

  1. Effect size model: the unbiased data generation process. In our case basically the sim_studies() function.
  2. Selection model: the assumed process generating the biased selection of effect sizes

Selection models can be based on the p-value (e.g., p-curve or p-uniform) and/or the effect size and variance (Copas model). We will see only models based on the p-value.

Correcting PB - Selection Models (SM)

Formally, the random-effect meta-analysis probability density function (PDF) can be written as (e.g., Citkowicz and Vevea 2017):

\[ f\left(y_i \mid \beta, \tau^2 ; \sigma_i^2\right)=\frac{\phi\left(\frac{y_i-\Delta_i}{\sqrt{\sigma_i^2+\tau^2}}\right)}{\int_{-\infty}^{\infty} \phi\left(\frac{Y_i-\Delta_i}{\sqrt{\sigma_i^2+\tau^2}}\right) d y_i} \]

Without going into details, this is the PDF without any selection process (i.e., the effect sizes model).

Correcting PB - Selection Models (SM)

If we have a function linking the p-value with the probability of publishing (a weight function) \(w(p_i)\) we can include it in the previous PDF, creating a weighted PDF.

\[ f\left(y_i \mid \beta, \tau^2 ; \sigma_i^2\right)=\frac{\mathrm{w}\left(p_i\right) \phi\left(\frac{y_i-\Delta_i}{\sqrt{\sigma_i^2+\tau^2}}\right)}{\int_{-\infty}^{\infty} \mathrm{w}\left(p_i\right) \phi\left(\frac{Y_i-\Delta_i}{\sqrt{\sigma_i^2+\tau^2}}\right)d y_i} \]

Essentially, this new model take into account the selection process (the weight function) to estimate a new meta-analysis. In case of no selection (all weigths are the same) the model is the standard random-effects meta-analysis.

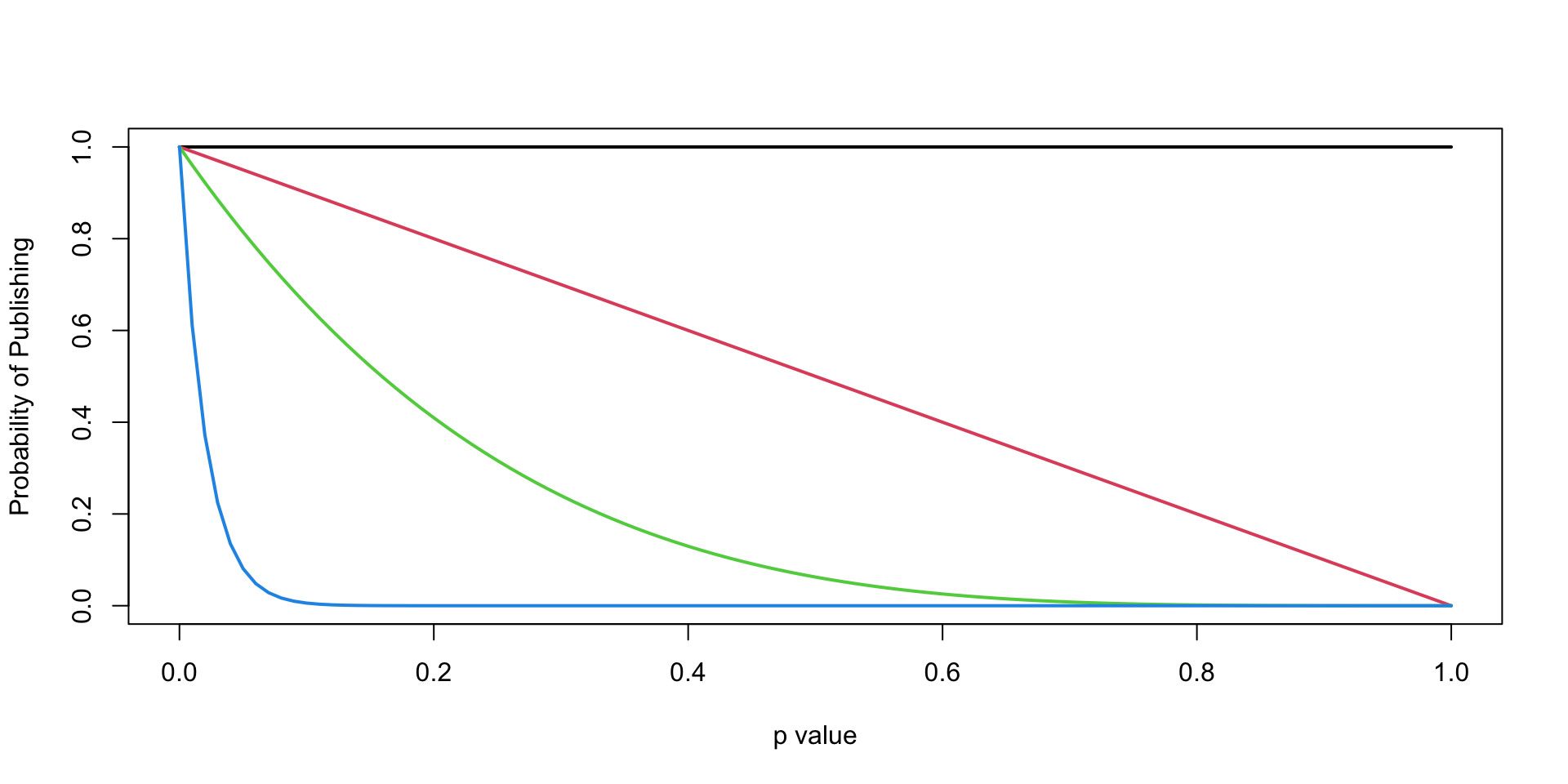
SM - Weigth function

The weigth function is a simple function that links the p-value with the probability of publishing. The simple example at the beginning (publishing only significant p-values) is a step weigth function.

p <- c(0, 0.05, 0.05, 1)
w <- c(1, 1, 0, 0)

plot(p, w, type = "l", xlab = "p value", ylab = "Probability of Publishing")

SM - Weigth function

We can add more steps to express a more complex selection process:

p <- c(0.001, 0.01, 0.05, 0.1, 0.8, 1)
w <- c(1, 1, 0.9, 0.5, 0.1, 0.1)
plot(p, w, type = "s", xlab = "p value", ylab = "Probability of Publishing")

SM - Weigth function

Or we can draw a smooth function assuming certain parameters:

wbeta <- function(p, a = 1, b = 1) p^(a - 1) * (1 - p)^(b - 1)
pval <- seq(0, 1, 0.01)

plot(pval, wbeta(pval, 1, 1), type = "l", ylim = c(0, 1), col = 1, lwd = 2,
     xlab = "p value", ylab = "Probability of Publishing")
lines(pval, wbeta(pval, 1, 2), col = 2, lwd = 2)
lines(pval, wbeta(pval, 1, 5), col = 3, lwd = 2)
lines(pval, wbeta(pval, 1, 50), col = 4, lwd = 2)

SM - Weigth function

Whatever the function, the SM estimate the parameters of the function and the meta-analysis parameters taking into account the weigths.

Clearly, in the presence of no bias the two models (with and without weights) are the same while with PB the estimation is different, probably reducing the effect size.

If the SM is correct (not possible in reality), the SM estimate the true effect even in the presence of bias. This is the strenght and elegance of the SM.

SM - Weigth functions

There are several weight functions:

  • the step model
  • the negative-exponential model
  • the beta model

For an overview see the metafor documentation https://wviechtb.github.io/metafor/reference/selmodel.html

SM - Step model

The step model approximate the selection process with thresholds \(\alpha\) and the associated weight \(w(p_i)\). For example:

steps <- c(0.005, 0.01, 0.05, 0.10, 0.25, 0.35, 0.50, 0.65, 0.75, 0.90, 0.95, 0.99, 0.995, 1)
moderate_pb <- c(1, 0.99, 0.95, 0.80, 0.75, 0.65, 0.60, 0.55, 0.50, 0.50, 0.50, 0.50, 0.50, 0.50)
severe_pb <- c(1, 0.99, 0.90, 0.75, 0.60, 0.50, 0.40, 0.35, 0.30, 0.25, 0.10, 0.10, 0.10, 0.10)

par(mfrow = c(1, 2))
plot(steps, moderate_pb, type = "s", xlab = "p value", ylab = "Probability of Selection", main = "Moderate PB", ylim = c(0, 1))
abline(v = steps, col = "grey")
plot(steps, severe_pb, type = "s", xlab = "p value", ylab = "Probability of Selection", main = "Severe PB", ylim = c(0, 1))
abline(v = steps, col = "grey")

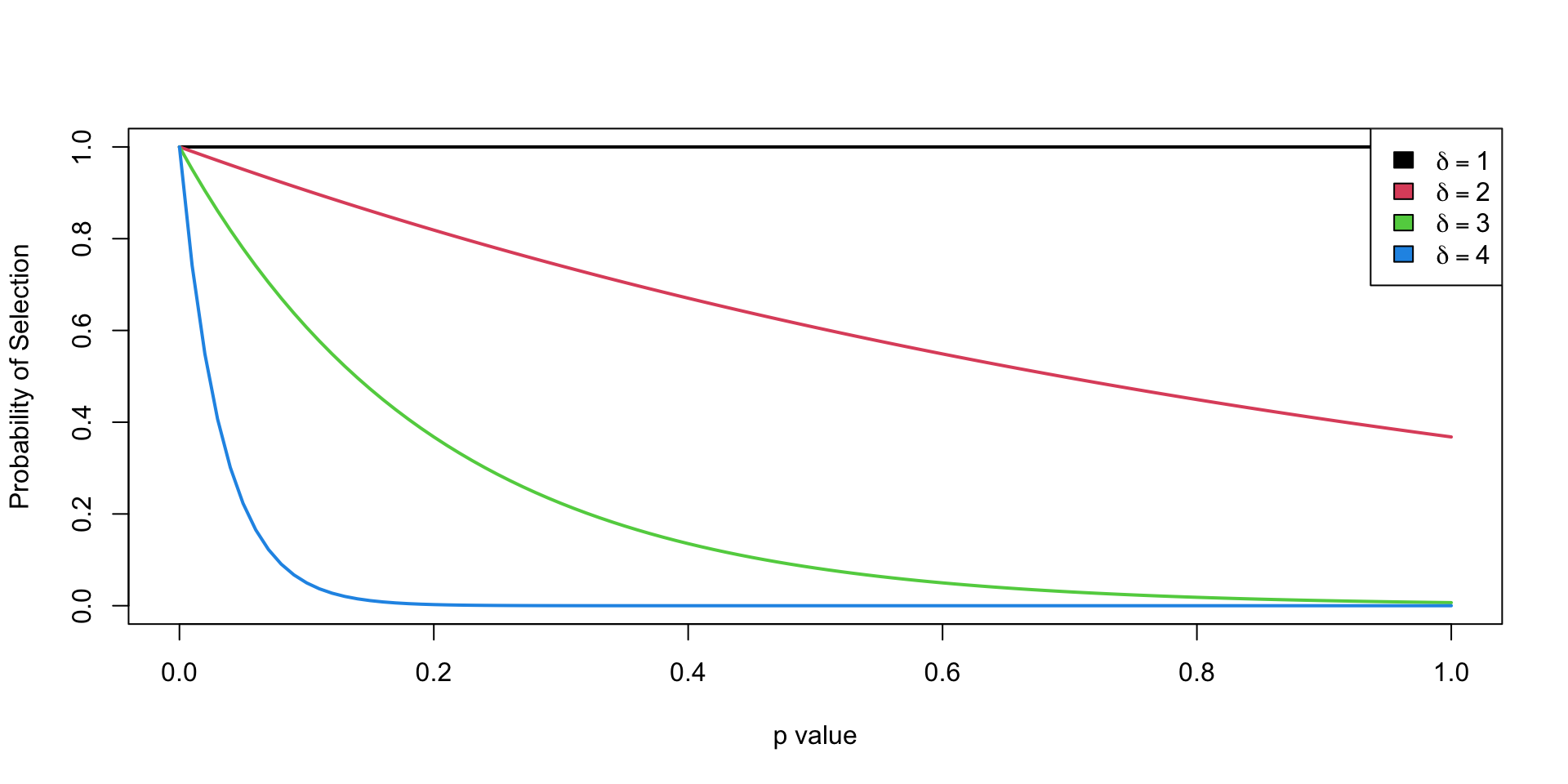
SM - Negative-Exponential

The Negative-Exponential model is very simple and intuitive. The weight function is \(e^{-\delta p_i}\) thus the single parameter \(\delta\) is the amount of bias. When \(\delta = 0\) there is no bias.

wnegexp <- function(p, delta){
  exp((-delta)*p)
}
curve(wnegexp(x, 0), ylim = c(0, 1), col = 1, lwd = 2, xlab = "p value", ylab = "Probability of Selection")
curve(wnegexp(x, 1), add = TRUE, col = 2, lwd = 2)
curve(wnegexp(x, 5), add = TRUE, col = 3, lwd = 2)
curve(wnegexp(x, 30), add = TRUE, col = 4, lwd = 2)

legend("topright", legend = latex2exp::TeX(sprintf("$\\delta = %s$", c(1, 2, 3, 4))), fill = 1:4)

Simulating data with PB

The strategy to simulate biased data is to sample from the sim_studies() function but to keep the studies using a probabilistic sampling based on the weight function.

set.seed(2024)

k <- 500 # high number to check the results
es <- 0 # H0 true
tau2 <- 0.1
delta <- 5
dat <- vector(mode = "list", k)

i <- 1
while(i <= k){
  # generate data
  n <- runif(1, 10, 100)
  d <- summary(sim_studies(1, es, tau2, n))
  # get one-tail p-value
  pi <- 1 - pnorm(d$zi)
  # get wi
  wpi <- wnegexp(pi, delta)
  keep <- rbinom(1, 1, wpi) == 1
  if(keep){
    dat[[i]] <- d
    i <- i + 1
  }
}

dat <- do.call(rbind, dat)
fit <- rma(yi, vi, data = dat)

Simulating data with PB

Let’s see some plots:

Code
par(mfrow = c(1, 3))
hist(dat$yi, breaks = 50, col = "dodgerblue")
hist(1 - pnorm(dat$zi), breaks = 50, col = "dodgerblue")
plot(dat$yi, dat$sei, ylim = c(rev(range(dat$sei)[2]), 0), xlim = c(-1, 2))

Simulating data with PB

Let’s see the model result:

fit <- rma(yi, vi, data = dat)

Simulating data with PB

Let’s see the Egger regression test and the trim-and-fill procedure:

regtest(fit)
#> 
#> Regression Test for Funnel Plot Asymmetry
#> 
#> Model:     mixed-effects meta-regression model
#> Predictor: standard error
#> 
#> Test for Funnel Plot Asymmetry: z = 4.4739, p < .0001
#> Limit Estimate (as sei -> 0):   b = 0.2017 (CI: 0.1235, 0.2799)
trimfill(fit)
#> 
#> Estimated number of missing studies on the left side: 106 (SE = 14.6182)
#> 
#> Random-Effects Model (k = 606; tau^2 estimator: REML)
#> 
#> tau^2 (estimated amount of total heterogeneity): 0.0474 (SE = 0.0049)
#> tau (square root of estimated tau^2 value):      0.2176
#> I^2 (total heterogeneity / total variability):   56.94%
#> H^2 (total variability / sampling variability):  2.32
#> 
#> Test for Heterogeneity:
#> Q(df = 605) = 1399.3991, p-val < .0001
#> 
#> Model Results:
#> 
#> estimate      se     zval    pval   ci.lb   ci.ub      
#>   0.2927  0.0121  24.1497  <.0001  0.2689  0.3164  *** 
#> 
#> ---
#> Signif. codes:  0 '***' 0.001 '**' 0.01 '*' 0.05 '.' 0.1 ' ' 1

Simulating data with PB

The two methods are detecting the PB but not correcting it appropriately. Let’s see the SM using a negexp method:

sel <- selmodel(fit, type = "negexp", alternative = "greater")
sel
#> 
#> Random-Effects Model (k = 500; tau^2 estimator: ML)
#> 
#> tau^2 (estimated amount of total heterogeneity): 0.0800 (SE = 0.0118)
#> tau (square root of estimated tau^2 value):      0.2828
#> 
#> Test for Heterogeneity:
#> LRT(df = 1) = 115.9867, p-val < .0001
#> 
#> Model Results:
#> 
#> estimate      se    zval    pval    ci.lb   ci.ub    
#>   0.0519  0.0381  1.3609  0.1735  -0.0228  0.1266    
#> 
#> Test for Selection Model Parameters:
#> LRT(df = 1) = 46.6783, p-val < .0001
#> 
#> Selection Model Results:
#> 
#> estimate      se     zval    pval   ci.lb   ci.ub      
#>   4.7526  0.3818  12.4494  <.0001  4.0044  5.5008  *** 
#> 
#> ---
#> Signif. codes:  0 '***' 0.001 '**' 0.01 '*' 0.05 '.' 0.1 ' ' 1

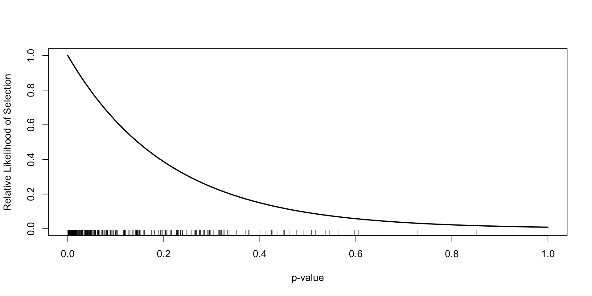
Simulating data with PB

We can also plot the results:

plot(sel)

PB Sensitivity analysis

  • The SM is correctly detecting, estimating and correcting the PB. But we simulated a pretty strong bias with \(k = 500\) studies. In reality meta-analyses have few studies.
  • Vevea and Woods (2005) proposed to fix the weight function parameters to certain values representing different degree of selection and check how the model changes.
  • If the model parameters are affected after taking into account the SM, this could be considered as an index of PB.
  • This approach is really interesting in general but especially when \(k\) is too small for estimating the SM
  • see ?selmodel for information about performing sensitivity analysis with pre-specified weight functions

More on SM and Publication Bias

References

Bartoš, František, Maximilian Maier, Daniel S Quintana, and Eric-Jan Wagenmakers. 2022. “Adjusting for Publication Bias in JASP and r: Selection Models, PET-PEESE, and Robust Bayesian Meta-Analysis.” Advances in Methods and Practices in Psychological Science 5 (July): 251524592211092. https://doi.org/10.1177/25152459221109259.
Citkowicz, Martyna, and Jack L Vevea. 2017. “A Parsimonious Weight Function for Modeling Publication Bias.” Psychological Methods 22 (March): 28–41. https://doi.org/10.1037/met0000119.
Duval, S, and R Tweedie. 2000. “Trim and Fill: A Simple Funnel-Plot-Based Method of Testing and Adjusting for Publication Bias in Meta-Analysis.” Biometrics 56 (June): 455–63. https://doi.org/10.1111/j.0006-341x.2000.00455.x.
Guan, Maime, and Joachim Vandekerckhove. 2016. “A Bayesian Approach to Mitigation of Publication Bias.” Psychonomic Bulletin & Review 23 (February): 74–86. https://doi.org/10.3758/s13423-015-0868-6.
Harrer, Mathias, Pim Cuijpers, Toshi Furukawa, and David Ebert. 2021. Doing Meta-Analysis with r: A Hands-on Guide. 1st ed. London, England: CRC Press.
Jin, Zhi-Chao, Xiao-Hua Zhou, and Jia He. 2015. “Statistical Methods for Dealing with Publication Bias in Meta-Analysis.” Statistics in Medicine 34 (January): 343–60. https://doi.org/10.1002/sim.6342.
Maier, Maximilian, František Bartoš, and Eric-Jan Wagenmakers. 2023. “Robust Bayesian Meta-Analysis: Addressing Publication Bias with Model-Averaging.” Psychological Methods 28 (February): 107–22. https://doi.org/10.1037/met0000405.
McShane, Blakeley B, Ulf Böckenholt, and Karsten T Hansen. 2016. “Adjusting for Publication Bias in Meta-Analysis: An Evaluation of Selection Methods and Some Cautionary Notes: An Evaluation of Selection Methods and Some Cautionary Notes.” Perspectives on Psychological Science: A Journal of the Association for Psychological Science 11 (September): 730–49. https://doi.org/10.1177/1745691616662243.
Orwin, Robert G. 1983. “A Fail-SafeN for Effect Size in Meta-Analysis.” Journal of Educational Statistics 8 (June): 157–59. https://doi.org/10.3102/10769986008002157.
Rosenberg, Michael S. 2005. “The File-Drawer Problem Revisited: A General Weighted Method for Calculating Fail-Safe Numbers in Meta-Analysis.” Evolution; International Journal of Organic Evolution 59 (February): 464–68. https://doi.org/10.1111/j.0014-3820.2005.tb01004.x.
Rosenthal, Robert. 1979. “The File Drawer Problem and Tolerance for Null Results.” Psychological Bulletin 86 (May): 638–41. https://doi.org/10.1037/0033-2909.86.3.638.
Shi, Linyu, and Lifeng Lin. 2019. “The Trim-and-Fill Method for Publication Bias: Practical Guidelines and Recommendations Based on a Large Database of Meta-Analyses: Practical Guidelines and Recommendations Based on a Large Database of Meta-Analyses.” Medicine 98 (June): e15987. https://doi.org/10.1097/MD.0000000000015987.
Vevea, Jack L, and Carol M Woods. 2005. “Publication Bias in Research Synthesis: Sensitivity Analysis Using a Priori Weight Functions.” Psychological Methods 10 (December): 428–43. https://doi.org/10.1037/1082-989X.10.4.428.